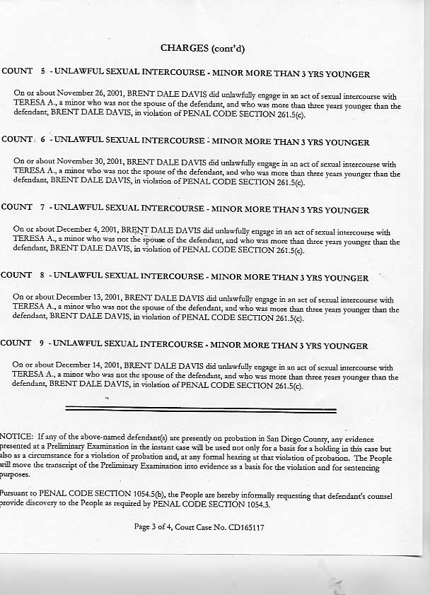
Courts documents relating to inappropriate conduct by Sweetwater Union High School District employees with female students.